Efficient approximate Bayesian inference for Structural Equation Models.
While Markov Chain Monte Carlo (MCMC) methods remain the gold standard for exact Bayesian inference, they can be prohibitively slow for iterative model development. INLAvaan offers a rapid alternative for latent variable analysis, delivering Bayesian results at (or near) the speed of frequentist estimators. It achieves this through a custom, ground-up implementation of the Integrated Nested Laplace Approximation (INLA), engineered specifically for the lavaan modelling framework.
A familiar interface
INLAvaan is designed to fit seamlessly into your existing workflow. If you are familiar with the (b)lavaan syntax, you can begin using INLAvaan immediately.
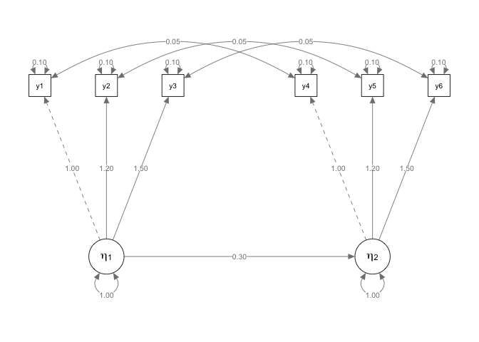
As a first impression of the package, consider the canonical example of SEM applied to the Industrialisation and Political Democracy data set of Bollen (1989)1:
library(INLAvaan)
mod_poldem <- "
# Latent variable definitions
ind60 =~ x1 + x2 + x3
dem60 =~ y1 + y2 + y3
dem65 =~ y5 + y6 + y7 + y8
# Latent regressions
dem60 ~ ind60
dem65 ~ ind60 + dem60
# Residual correlations
y1 ~~ y5
y2 ~~ y4 + y6
y3 ~~ y7
y4 ~~ y8
y6 ~~ y8
# Fixed loading
dem60 =~ 1.5*y4
# Custom priors on latent variances
ind60 ~~ prior('gamma(1, 1)')*ind60
dem60 ~~ prior('gamma(2, 1)')*dem60
dem65 ~~ prior('gamma(1,.5)')*dem65
"
utils::data("PoliticalDemocracy", package = "lavaan")
fit <- asem(model = mod_poldem, data = PoliticalDemocracy, use_gcp = TRUE)
#> ℹ GCP parametrisation active.
#> ℹ Finding posterior mode.
#> ✔ Finding posterior mode. [60ms]
#>
#> ℹ Computing the Hessian.
#> ✔ Computing the Hessian. [40ms]
#>
#> ℹ Performing VB correction.
#> ✔ VB correction; mean |δ| = 0.158σ. [204ms]
#>
#> ⠙ Fitting 0/30 skew-normal marginals.
#> ⠹ Fitting 4/30 skew-normal marginals.
#> ⠸ Fitting 12/30 skew-normal marginals.
#> ⠼ Fitting 21/30 skew-normal marginals.
#> ⠴ Fitting 29/30 skew-normal marginals.
#> ✔ Fitting 30/30 skew-normal marginals. [724ms]
#>
#> ℹ Adjusting copula correlations (NORTA).
#> ✔ Adjusting copula correlations (NORTA). [108ms]
#>
#> ⠙ Posterior sampling and summarising.
#> ⠹ Posterior sampling and summarising.
#> ⠸ Posterior sampling and summarising.
#> ✔ Posterior sampling and summarising. [332ms]
#>
summary(fit)
#> INLAvaan 0.2.4.9001 did NOT end normally after 54 iterations
#> ** WARNING ** Estimates below are most likely unreliable
#>
#> Estimator BAYES
#> Optimization method NLMINB
#> Number of model parameters 30
#>
#> Number of observations 75
#>
#> Model Test (User Model):
#>
#> Marginal log-likelihood -1652.792
#> PPP (Chi-square) 0.509
#>
#> Information Criteria:
#>
#> Deviance (DIC) 3156.202
#> Effective parameters (pD) 28.909
#>
#> Parameter Estimates:
#>
#> Marginalisation method SKEWNORM
#> VB correction TRUE
#>
#> Latent Variables:
#> Estimate SD 2.5% 97.5% NMAD Prior
#> ind60 =~
#> x1 1.000
#> x2 2.210 0.145 1.944 2.515 0.006 normal(0,10)
#> x3 1.837 0.154 1.547 2.153 0.004 normal(0,10)
#> dem60 =~
#> y1 1.000
#> y2 1.450 0.167 1.130 1.784 0.001 normal(0,10)
#> y3 1.165 0.156 0.863 1.477 0.001 normal(0,10)
#> dem65 =~
#> y5 1.000
#> y6 1.263 0.188 0.929 1.667 0.008 normal(0,10)
#> y7 1.356 0.178 1.042 1.739 0.009 normal(0,10)
#> y8 1.369 0.179 1.054 1.756 0.008 normal(0,10)
#> dem60 =~
#> y4 1.500
#>
#> Regressions:
#> Estimate SD 2.5% 97.5% NMAD Prior
#> dem60 ~
#> ind60 1.371 0.347 0.699 2.060 0.001 normal(0,10)
#> dem65 ~
#> ind60 0.512 0.223 0.084 0.960 0.000 normal(0,10)
#> dem60 0.883 0.103 0.687 1.092 0.014 normal(0,10)
#>
#> Covariances:
#> Estimate SD 2.5% 97.5% NMAD Prior
#> .y1 ~~
#> .y5 0.846 0.386 0.155 1.671 0.003 beta(1,1)
#> .y2 ~~
#> .y4 0.947 0.615 -0.182 2.234 0.009 beta(1,1)
#> .y6 2.083 0.680 0.834 3.505 0.010 beta(1,1)
#> .y3 ~~
#> .y7 1.022 0.609 -0.172 2.215 0.002 beta(1,1)
#> .y8 ~~
#> .y4 0.206 0.460 -0.643 1.165 0.007 beta(1,1)
#> .y6 ~~
#> .y8 1.276 0.589 0.279 2.580 0.003 beta(1,1)
#>
#> Variances:
#> Estimate SD 2.5% 97.5% NMAD Prior
#> ind60 0.459 0.089 0.312 0.658 0.003 gamma(1,1)
#> .dem60 3.124 0.607 2.103 4.471 0.001 gamma(2,1)
#> .dem65 0.292 0.179 0.043 0.706 0.081 gamma(1,.5)
#> .x1 0.087 0.021 0.051 0.133 0.009 gamma(1,.5)[sd]
#> .x2 0.133 0.066 0.033 0.281 0.022 gamma(1,.5)[sd]
#> .x3 0.498 0.098 0.335 0.719 0.003 gamma(1,.5)[sd]
#> .y1 2.330 0.493 1.511 3.433 0.004 gamma(1,.5)[sd]
#> .y2 7.359 1.300 5.099 10.183 0.003 gamma(1,.5)[sd]
#> .y3 5.554 1.072 3.774 7.960 0.002 gamma(1,.5)[sd]
#> .y5 2.647 0.544 1.743 3.867 0.004 gamma(1,.5)[sd]
#> .y6 5.115 0.925 3.539 7.154 0.002 gamma(1,.5)[sd]
#> .y7 3.655 0.788 2.335 5.409 0.007 gamma(1,.5)[sd]
#> .y8 3.255 0.722 2.017 4.837 0.006 gamma(1,.5)[sd]
#> .y4 2.884 0.728 1.629 4.470 0.010 gamma(1,.5)[sd]Validation against MCMC
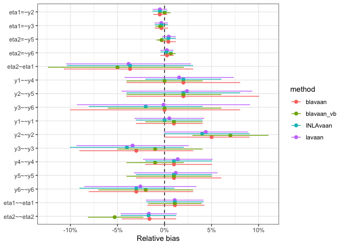
Computation speed is valuable only when accuracy is preserved. Our method yields posterior distributions that are visually and numerically comparable to those obtained via MCMC (e.g., via blavaan/Stan), but at a fraction of the computational cost.
The figure below illustrates the posterior density overlap for the example above. The percentages refer to the one minus the Jensen-Shannon distance, which gives a measure of similarity between two probability distributions.
# install.packages("blavaan")
library(blavaan)
fit_blav <- bsem(model = mod_poldem, data = PoliticalDemocracy, seed = 2026)
res <- INLAvaan:::compare_mcmc(fit_blav, INLAvaan = fit)
print(res$p_compare)
Installation
Install the CRAN version of INLAvaan using:
install.packages("INLAvaan")Alternatively, install the development version of INLAvaan from GitHub using:
# install.packages("pak")
pak::pak("haziqj/INLAvaan")Optionally2, you may wish to install INLA. Following the official instructions given here, install the package by running this command in R:
install.packages(
"INLA",
repos = c(getOption("repos"),
INLA = "https://inla.r-inla-download.org/R/stable"),
dep = TRUE
)Citation
There are two papers related to INLAvaan and its underlying methodology. To cite INLAvaan in publications, consider citing both.
To cite the methodological contribution exclusively, please use:
Jamil, H., & Rue, H. (2026). Approximate Bayesian inference for structural equation models using integrated nested Laplace approximations (2603.25690 [stat.ME]). arXiv. https://doi.org/10.48550/arXiv.2603.25690
To cite the software implementation and workflows, please use:
Jamil, H., & Rue, H. (2026). Implementation and workflows for INLA-based approximate Bayesian structural equation modelling (2604.00671 [stat.CO]). arXiv. https://doi.org/10.48550/arXiv.2604.00671
BibTeX entries for LaTeX users:
@Misc{jamil2026approximate,
title = {Approximate Bayesian inference for structural equation models using integrated nested Laplace approximations},
author = {Haziq Jamil and Håvard Rue},
year = {2026},
number = {2603.25690 [stat.ME]},
eprint = {2603.25690},
primaryclass = {stat.ME},
publisher = {arXiv},
doi = {10.48550/arXiv.2603.25690},
archiveprefix = {arXiv},
copyright = {Creative Commons Attribution Non Commercial Share Alike 4.0 International},
}
@Misc{jamil2026implementation,
title = {Implementation and workflows for INLA-based approximate Bayesian structural equation modelling},
author = {Haziq Jamil and Håvard Rue},
year = {2026},
number = {2604.00671 [stat.CO]},
eprint = {2604.00671},
primaryclass = {stat.CO},
publisher = {arXiv},
doi = {10.48550/arXiv.2604.00671},
archiveprefix = {arXiv},
copyright = {Creative Commons Attribution Non Commercial Share Alike 4.0 International},
}License
The INLAvaan package is licensed under the GPL-3.
INLAvaan: Bayesian Latent Variable Analysis using INLA
Copyright (C) 2026 Haziq Jamil
This program is free software: you can redistribute it and/or modify
it under the terms of the GNU General Public License as published by
the Free Software Foundation, either version 3 of the License, or
(at your option) any later version.
This program is distributed in the hope that it will be useful,
but WITHOUT ANY WARRANTY; without even the implied warranty of
MERCHANTABILITY or FITNESS FOR A PARTICULAR PURPOSE. See the
GNU General Public License for more details.
You should have received a copy of the GNU General Public License
along with this program. If not, see <http://www.gnu.org/licenses/>.
